想了解設備資料?報價?售后?請留言,速回電
廠家直銷,留言立享本月優惠價免費提供環保政策、辦廠手續、投資預算等資料
雷蒙磨作為各種礦石的主要磨粉設備,相比其他磨粉設備有哪些優勢呢?紅星機器為您分析有關雷蒙磨粉機的優勢。
(1)雷蒙磨(由于是立式結構,占地面積較小。
(2)雷蒙磨的成套性強,從塊料粉碎到成品包裝,能獨立自成生產體系。
(3)經過雷蒙磨研磨的成品粒度均能達到所需細度的99%通過,這是其他磨粉機所不能勝任的。
.jpg)
(4)由于采用了電磁振動給料機,易于調節,給料均勻,體積小重量輕,省油省電,使用維護方便。
(5)電氣采用集中控制,選型先進。
(6)主機傳動裝置采用密閉齒輪減速器,傳動平穩、運轉可靠,無滲漏油現象。
(7)主機鏟刀架磨損后便于更換,鏟刀架由上下二部分組成,下部磨損后拆卸聯接螺栓可調換。
(8)主機傳動部件,仍為帶輪帶動傳動軸通過一對傘形齒輪,驅動主軸旋轉,目前生產的雷蒙磨(雷蒙磨粉機),為下置式電機與傳動機構,取消了傳動系統,提高了效率,結構更緊湊。
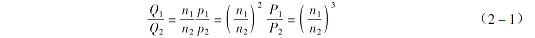
(9)風機轉速變化與風量、風壓、功率的變化關系式如下:
![]()
式中 Q1 --- 變化前風量,m3/h;Q2 --- 變化后風量,m3/h;n1 --- 變化前風機轉速,r/min;n2 --- 變化后風機轉速,r/min;P1 --- 變化前風壓,Pa;P2 --- 變化后風壓,Pa;P1 ---變化前功率,kW;P2 ---變化后功率,kW。
如要改變轉速,必須遵循上述原則。
雷蒙磨粉機價格詳細垂詢:0371-67772626
雷蒙磨粉機廠家地址:鄭州-國家高新技術產業開發區檀香路8號
想了解設備資料?報價?售后?請留言,速回電
廠家直銷,留言立享本月優惠價免費提供環保政策、辦廠手續、投資預算等資料
3分鐘前 高先生:時產200噸制砂機報個價,處理鵝卵石
8分鐘前 李先生:移動式破碎機怎么解決粉塵問題?
13分鐘前 徐女士:需要制砂機,南寧能看制砂現場嗎?
16分鐘前 程先生:破碎生產線出個方案及報價,有什么售后服務?
22分鐘前 鄭女士:想了解時產500噸錘破,加工石灰石
31分鐘前 吳先生:成套石頭破碎設備有嗎?給個詳細產品資料
36分鐘前 羅先生:每小時100噸左右的鄂破和反擊破,推薦下型號
42分鐘前 梁先生:膨潤土磨到200目,用什么磨粉設備?
提交留言我們會第一時間回復您!
目前市場上比較先進且應用較廣的制粉設備當屬雷蒙磨粉機,小編帶著大家一塊來了解一下雷蒙磨粉機結構特點,加深您對雷蒙磨粉機的認識!
2015-03-27對輥式破碎機是一種應用非常廣泛的破碎機械。在煤礦中,粉碎炸藥的原材料硝酸銨的主要設備是對輥式破碎機。該對輥式破碎機的工作原理及結構特征詳見下文介紹。
2013-10-24高壓輥磨機采用的是料床粉碎原理,它主要是區別于單顆粒粉碎,料層粉碎只有少部分的顆粒與粉碎設備直接接觸,物料在壓力的作用下,相互擠壓而粉碎。料層粉碎的特點有如下幾個
2013-04-12紅星為您介紹FJC系列煤用噴射式浮選機的主要結構充氣攪拌裝置、槽體、刮泡機構、循環泵的作用,以及噴射式浮選機的工作原理
2012-06-13箱式激振器結構緊湊,激振器的四個偏心重成雙地布置在箱體的外部,箱體內有一對嚙合的齒輪,其作用是保證兩對偏心重旋轉方向相反、轉速相等以及兩者相位關系正好互相對正,以使篩箱作直線往復運動。
2009-07-22雷蒙磨(雷蒙磨粉機)又稱懸輥磨或雷蒙磨,用途非常廣泛,是一種“環_輥”碾磨結合氣流篩選、氣力輸送形式以制粉設備。雷蒙磨(擺式磨粉機)屬于圓盤不動型盤磨機。
2009-07-19