想了解設備資料?報價?售后?請留言,速回電
廠家直銷,留言立享本月優惠價免費提供環保政策、辦廠手續、投資預算等資料
輥式破碎機工作參數包含多項內容,下面是計算輥子直徑、鉗子和輥子的轉速的計算方式。
.jpg)
1. 輥子直徑
(1)輥式破碎機輥子直徑φ與給料粒度d、排料口寬度e、物料與輥面之間的摩擦系數f,以及齒面類型等因素有關,對于光面輥子,其理論公式可以推導如下:
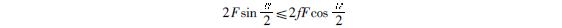
輥子直徑φ與給料粒度d之間的關系,主要取決于鉗角α與摩擦角μ0?;蚰Σ料禂礷之間的關系(見圖1-5)。設給料為球形,通過物料與輥子的接觸點作切線,兩條切線之間出夾角為α(鉗角),輥子在物料上的正壓力為F以及由它所引起的摩擦力fF。而料塊的重大G較之作用力小得多,故可忽略不計。
將F和fF分解為水平分力和垂直分力,只有在下列條件下,物料不在輥面上打滑,而被兩個相向運動的輥子卷入破碎腔:

![]()
![]()
或 ![]()
式中μ0為摩擦角,通常 ![]()
由直角三角形關系可得出:
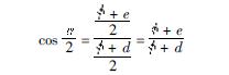
由于eφ<<φ,可以忽略,則為
以α≈33°20′代入,得出![]()
(2)齒面輥式破碎機的φ/d比值較光面輥式破碎機的比值小,其值視齒形及齒高而定,使用正常齒時,φ/d≈1.5-6;使用槽形輥面時,φ/d≈10-12。
(1).jpg)
2. 鉗角
物料與兩輥子接觸點的切線夾角α稱為輥式破碎機的鉗角,見圖 1-5 。
與顎式破碎機一樣,為了能鉗住物料進行破碎,要求輥式破碎機有一定的鉗角。鉗角的極限值可以從輥子直徑運算中得出α≤2μ0,即鉗角應小于或等于物料與輥子之間的摩擦角的2倍。
對干硬物料(如石灰石、砂巖等)在金屬表面上的摩擦系數f=0.3;濕軟物料(粘土等)f=0.45。與此相應的鉗角分別為33°20′和48°40′,實際上采用的鉗角要小些。
對于 φ/d 的比值由輥式破碎機的破碎比來求得,因輥式破碎機的破碎比一般為i=4,故e/d=0.25。并將前述α的極限值代入式(1-3)可得
對于干硬物料φ/d=17;對于濕軟物料 φ/d=7.5 。實際上,為了使破碎機可靠地進行工作,的數值還必須大20%-25%,此時輥子直徑要比物料尺寸大9-22倍。
根據上述計算得出輥子直徑與物料直徑為:對破碎干、脆性物料時,光面輥φ/d=20-21;齒面輥φ/d=1.5-6 ;槽面輥φ/d=10-12。
對濕軟物料,光面輥 φ/d=6-9,齒面或槽面輥子不適宜破碎濕軟物料。
3. 輥式破碎機輥子的轉速
由生產能力的計算公式可以得出,提高輥子的轉速,可提高生產能力。但是在實際生產中,轉速的提高有一定的限度,超過此限度,落在轉輥上的料塊在較大的離心慣性力的作用下,就不易鉗進轉輥之間。這時,生產能力不但沒有提高,反而引起電耗增加,棍子表面的磨損及機械振動增大。根據物料在輥子上的離心慣性力與各作用力的平衡條件,可得出當破碎比i≈4時,光面輥式破碎機蹬極限轉速為:![]()
式中 ρ---物料的密度,kg/cm3;
d---喂入破碎機的物料直徑,cm;
φ---輥子直徑,cm。
實際上,為了減小破碎機的振動與輥子表面的磨損,輥子轉速取為![]()
光面輥子取上限值,槽面與齒面輥子則取下限值,輥子的合理轉速一般通過實驗確定。目前使用的輥式破碎機,輥子的圓周速度在0.5-3m/s之間,對于硬質物料,取1-2m/s;對于軟質物料可達6-7m/s。
輥式破碎機價格詳細垂詢:0371-67772626
輥式破碎機廠家地址:鄭州-國家高新技術產業開發區檀香路8號
上一篇:沖擊式破碎機的工作原理及性能
下一篇:對輥破碎機的工作原理與結構
想了解設備資料?報價?售后?請留言,速回電
廠家直銷,留言立享本月優惠價免費提供環保政策、辦廠手續、投資預算等資料
3分鐘前 高先生:時產200噸制砂機報個價,處理鵝卵石
8分鐘前 李先生:移動式破碎機怎么解決粉塵問題?
13分鐘前 徐女士:需要制砂機,南寧能看制砂現場嗎?
16分鐘前 程先生:破碎生產線出個方案及報價,有什么售后服務?
22分鐘前 鄭女士:想了解時產500噸錘破,加工石灰石
31分鐘前 吳先生:成套石頭破碎設備有嗎?給個詳細產品資料
36分鐘前 羅先生:每小時100噸左右的鄂破和反擊破,推薦下型號
42分鐘前 梁先生:膨潤土磨到200目,用什么磨粉設備?
提交留言我們會第一時間回復您!
液壓系統集成在潤滑站上,此系統主要包括液壓站、鎖緊缸、過鐵釋放缸、蓄能器、連接油管等。液壓站是一個成套設備,它由油箱、電動機、雙液壓泵、儀表、壓力開關、液壓元件以及電控元件等組成。
2014-04-12輥式破碎機的安全使用方法和雙輥破碎機工作時要特別注意事項。
2014-04-02旋回破碎機是破碎生產線和制砂生產線的重要機械設備。其各結構參數的選擇與計算是否合理,對破碎機的破碎效率有很大的影響,因此本文主要介紹破碎機各結構參數的選擇計算方法。
2013-06-10振動輸送機具有結構簡單、安裝、維修方便、能耗低、無粉塵溢散、噪音低等優點。其動力學參數的計算主要包括主振彈簧彈片的確定、電機動率的計算兩方面,下文將介紹著兩個參數的計算方法。
2013-05-13離心式選粉機也稱為內部循環式選粉機,在水泥工業中應用尤為廣泛,是水泥生產的重要且關鍵設備之一。選粉機的工藝參數設計對水泥生產有很大的影響。本文主要介紹離心式選粉機基本工藝參數的確定方法。
2013-04-09搖床是分選細粒礦石時常用的設備,其特點是分選精確性較高,經過一次選別就能夠得到高品位精礦或者廢棄尾礦。搖床的高分選率取決于其工藝操作參數,本文就來介紹搖床的一些工藝參數的確定方法以供參考。
2013-01-08